整流形計器の記号

整流形計器の目盛板の下を見ると
上図のような記号が表示されている。
これは、ダイオードの記号そのもので、交流をダイオードにより整流したもの(直流)を
永久磁石可動コイル形計器で測ることを表している。
整流形計器の可動部構造について

上左図:バンド支持方式 上右図:ピポット支持方式
可動部の構造については永久磁石可動コイル形計器そのものとなる。
以下、整流形計器の重要な役割を担っている整流器について説明。
整流器は交流を直流に変換する回路で、ダイオードにより構成されている。
ダイオードの特性は、順方向抵抗が0(ゼロ)、逆方向抵抗が∞(無限大)であれば理想的であるが
実際のダイオードの抵抗は電流の大きさによって変化する。
特に順方向では、電流が小さくなるほど急激に増大する性質があるので
直列抵抗器の抵抗値に対して、ダイオードの抵抗の変化が無視できない低電圧測定用の電圧計では
ゼロのほうがつまっている非直線の目盛になる。

上図:ダイオードの整流特性の例
整流形計器には、以前は亜酸化銅整流器が使われていたが
現在はより特性の優れている
ゲルマニウムダイオードやショットキーダイオードが使われていることが多い。
整流形計器には整流の方式により、次の半波整流回路と全波整流回路がある。
半波整流回路


左図:基本回路 右図:実際の回路
上左図に半波整流回路の基本回路を示す。
この場合、可動コイルには下記図の波形の電流が流れ
この波形の平均値に比例した指示する。

上図:整流波形
全波整流回路に比べて、整流効率は低いが、回路が簡単なので
切替えが必要なアナログテスタによく用いられている。
ただし、この回路では、交流電圧が逆になったとき、D1に高い逆方向電圧がかかり
D1が壊れるおそれがあるため、実際には上右図のようにD2によりD1を保護している。
また、直流分をカットする目的でコンデンサを直列に接続して交流電圧を測定する場合
上左図の回路ではコンデンサが不導通となる不都合が生じる。
全波整流回路


上左図:基本回路 上右図:実際の回路(低圧電圧測定回路)
上左図に全波整流の基本回路、上下図に波形を示す。

図:全波整流波形
半波よりも電流は連続するが、ダイオードが2個直列になるため
ダイオードの非直線と温度による変化の影響も大きくなる。
したがって、低電圧測定用の電圧計などでは
この影響が無視できないので、上右図の回路が用いられる。
全波整流回路のダイオード2個を抵抗器に置き換えると
整流電流は1/2以下に減少するが、上記のようなダイオードの影響は小さくなり
整流形計器としての特性はよくなる。
整流形計器の動作原理

全波整流回路の基本回路を例として説明。
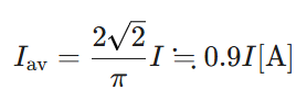
この回路に実効値 I[A] の正弦波交流 i [A] を入力すると
ダイオードが理想的であるとすれば、全波整流波形のような電流が可動コイルに流れる。
ここで、可動コイルは平均値を指示しめすため
計器の指示 Iav [A] は次式で求められる。

したがって、計器は I の 0.9 倍を指示するが、実際のダイオードは上図(ダイオードの整流特性の例特性)を
しているので可動コイルに流れる波形は下グラフのようになる。

このため、実際には、I の 0.85 倍程度の指示となり
0.85I の指示のところに I の実効値を目盛って、指針の振れから実効値を直読するように作られている。
整流形計器の特徴

①感度のよい永久磁石可動コイル形計器を使用しているので、交流計器のうち最も感度が高い。
②商用周波数から10kHzくらいまでの正弦波交流で使用でき、可聴周波計器といわれる。
③目盛は、ほぼ平等目盛。
④平均値を指示するが、目盛は正弦波の実効値で目盛ってあるため、波形が正弦波からひずむと誤差を生じる。
⑤消費電力が小さく、電圧計は3V程度、電流計は100μA程度のものから作ることができる。
整流形計器の用途

(a)交流電圧計
半波整流回路 or 全波整流回路に、直列抵抗器を接続すれば、交流電圧計になる。
整流形計器は正弦波からひずむと誤差を生じる欠点があるが
ひずみによる誤差を補正する回路を設けた近似実効値整流形では
波形による誤差を軽減することができる。
(b)交流電流計
半波整流回路 or 全波整流回路に、分流器を並列に接続すれば、交流電流計になる。
近似実効値整流形があることは、交流電圧計と同じ。
そのほかにも、整流形計器は電線路用交流電流計(クランプメータ)や
回転計(タコメータ)などに広く応用されている。
参考資料
新電気2020年4月号なるほど納得!新連載 電気計器 第1回永久磁石可動コイル形計器 より引用
新電気2020年6月号なるほど納得!新連載 電気計器 第3回整流形計器 より引用

コメント