分流器は電流計の測定範囲を広げるため、または大電流を測定するために
計器と「並列」に接続する抵抗器のこと。
分流器の主な役割

電流計(メーター)は、それ自体に流せる電流の限界(フルスケール)が
数mA〜数A程度と小さいものがほとんどとなる。
しかし、実際の電力系統や工場では数百A、数千Aという大電流が流れている。
主な役割
- 測定範囲の拡大
本来は小さな電流しか測れないメーターを使い
巨大な電流を測れるようにする。 - 機器の保護
メーターに直接大きな電流を流すと焼き切れてしまうため
大部分の電流を分流器側に逃がす。
分流器の仕組みと原理

分流器は「並列回路では、電流は抵抗の逆数に比例して分かれる」という性質を利用している。
電流の分配
回路の電流 Iを、分流器(抵抗 Rs)と電流計(内部抵抗 ra)に分ける。
電圧降下の利用
多くの分流器は、定格電流が流れたときに「60mV」や「100mV」といった
微小な電圧が発生するように設計されており、この電圧をメーターで測ることで
間接的に電流値を読み取る。
分流器の計算式

電流計の測定範囲を m 倍にしたい場合
接続する分流器の抵抗値 Rs は以下の式で求められる。
Rs = ra/m – 1}
- ra: 電流計の内部抵抗
- m: 拡大したい倍率
(例:1Aの計器で100A測りたいなら m=100)
例: 内部抵抗 9Ω、最大 1A の電流計で 10A まで測りたい場合
m = 10 なので、 R_ = 9 / (10-1) = 1Ω の分流器を並列につければOK。
分流器の特徴と注意点

素材と構造
分流器は精密な抵抗値が求められるため
温度変化による抵抗値の変化が極めて少ないマンガニンなどの合金が使われる。
大電流用は熱を逃がすために、放熱フィンのような構造をしている。
取り扱いの注意
- 熱に注意
大電流が流れると分流器自体が非常に熱くなるため。周囲に熱に弱いものを置かないようにする。 - 接触抵抗
分流器と電線の接続部に緩みがあると、そこで熱が発生したり誤差が出たりする。
増締めを忘れないようにする
。 - 倍率器との違い
電流計に使うのが「分流器(並列)」
電圧計に使うのが「倍率器(直列)」
倍率器と分流器の比較表
| 項目 | 倍率器 (Multiplier) | 分流器 (Shunt) |
| 対象 | 電圧計 (V) | 電流計 (A) |
| 接続方法 | 直列 (Series) | 並列 (Parallel) |
| 目的 | 電圧の測定範囲を拡大 | 電流の測定範囲を拡大 |
図を用いた計算方法と具体例

分流器は,上図のように電流計に並列に外部抵抗を接続して
測定電流の一部を計器に分流させることによって測定範囲を拡大する機能を持つ。
外部抵抗は小さくして,電流を多く流す。
また、電流計の内部抵抗は大きくし
電流値を小さくして計器の破損を防ぐ役割を持つ。
測定電流を I,計器電流を I1,外部抵抗に流れる電流を I2,内部抵抗を Ra,外部抵抗を Rsとする。
① I = I1 + I2(分流)
② 抵抗 Ra と Rs は並列
③ ②より各電流は抵抗の逆比になる
④ 倍率

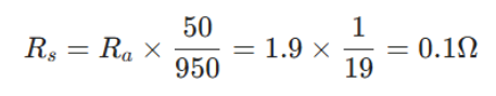
例題
上図に示す最大目盛 50mA の直流電流計の測定範囲を 1A まで拡大するために接続する分流器の
抵抗 Rs [Ω] の値はいくらか
ただし,直流電流計の内部抵抗 Ra = 1.9 Ωとする.
解答
①で,測定範囲は 1A だから,I は 1A,電流計の最大目盛が 50mA だから,I1 が 50mAとなる。
1A が分流するから

②,③で,抵抗が並列だから,流れる電流は抵抗の逆比を適用して

参考資料
イラストでわかる電験3種疑問解決道場 武智昭博著 p52「分流器の倍率がらみの計算は, どのように考えればいいの?」より一部引用

コメント