検電器は、電線や電気機器に電圧がかかっているか(活電状態か)を
確認するための非常に重要な安全器具のこと。
検電器の主な役割

電気は目に見えないため、作業前に「電気が止まっているか(停電しているか)」を
確認しないと感電事故につながる。
検電器は、音や光で電圧の有無を知らせ、作業者の安全を守る「命綱」のような道具となる。
検電器の種類の主な種類

検電器は、扱う電圧の高さによって使い分ける必要がある。
| 種類 | 特徴 | 該当するモデル |
| 低圧用 | 家庭用コンセントや工場の低圧回路(一般的にAC600V以下)で使用する。 | HTE-610 |
| 高低圧用 | 低圧から高圧(例:6.6kVの配電線など)まで幅広く対応する。 | HSN-6A型 |
| AC/DC両用 | 交流(AC)だけでなく、直流(DC)の検電も可能。 | HSN-6A型 |
伸縮タイプ(HSN-6A型など)のメリット
高圧電線を検電する際、対象物に近づきすぎると危険。
そのため、HSN-6A型のような伸縮タイプは
持ち手を伸ばして十分な離隔距離を保ちながら安全に作業できるよう設計されている。
検電器の仕組み

- 接触式
検知部を端子などに直接当てて
回路の一部を通る微弱な電流を検知する。 - 非接触式(被覆の上から)
電線の周りに発生する「電界」をキャッチする。
HTE-610などの低圧用には、電線の皮剥きをせずに絶縁被覆の上から検知できるタイプが多い。
使用上の重要な注意点

使用前点検
外観にひび割れや破損がないか確認する。
「既知の電源(活電部)」に当てて、正しく音と光が出るか動作確認する。
※電池切れで反応しないのが一番危険。
正しい持ち方
特に高圧用の場合、握る位置(グリップ)が決まっている。
指示された位置より先を握ると感電の恐れがある。
検電の実施
対象の全相(3相なら3本とも)を確認すること。
検電器の使い分けイメージ

低圧用
家庭やオフィスのコンセント、ブレーカーの工事、家電の修理など。
ポケットに入るサイズで手軽に確認可能。

高低圧用
受変電設備(キュービクル)の点検や、鉄道・工場の高圧ラインなど。直流(DC)もいけるため
鉄道の架線や太陽光発電の設備点検にも重宝される。
検電器の基本動作

上図に検電器の動作原理を示す。
検電器は回路が充電か停電かを確認するためのもので
先端の検知部を回路に接触することで判別する。
このとき検電器が検出している電圧は
作業者が立っている大地と回路の間の電圧「対地電圧」となる。
→地面に対し電位があるかないかを判断している。
交流回路の検電

図: 交流電路検電時の等価回路
電流はR →C1→C2大地と流れる
R、C1、C2は高インピーダンスであり
電流i1は数十uA以下になる
交流は静電容量を通って電流が流れるため、検電器の握り部を握り
検知部を回路に接触させるだけで回路から大地に微小な電流が流れる
(この電流はごく微小であり、人体に影響を与えない)。
この電流を検出し、規定値以上であると充電表示(発音・発光)する。
さらに交流においては絶縁電線の被覆上からでも検出できるものもある。
このタイプは、心線と検知部のわずかな静電容量を通じて流れる電流を検出するため
検出感度が高感度であり、検出できる電線の種類に制限があり
検知部の当て方にも注意が必要となる(下記図参照)

図:交流電路の被覆上から検電
交流回路の線間電圧と対地電圧

日本の交流低圧・高圧回路の配線方式を上図に示す。
対地電圧(検出対象電圧)は配線方式により異なる。
特に低圧回路の1線は接地(B種接地)されており
回路が充電時であっても対地電圧が0Vの回路もある。
=検電作業においては、すべての電路を検電する必要がある。
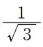
高圧回路は非接地回路が多いが、各相の対地静電容量 Cの影響で中性点の電位は接地に近い状態となる。
各相の C がバランスしていると対地電圧は線間電圧の

となりすべての電路で検電器は充電表示する。
直流回路の検電

直流は静電容量を通って電流が流れないため、検知部を電路の露出充電部に接触し
同時に接地端子を大地に接続させて閉回路を作ることにより検電が可能になる。
※直流は被覆上からの検電はできず、交流専用の検電器では検電できない。
直流回路の線間電圧と対地電圧

直流回路の接地方式には上図のように中点接地、+接地、-接地の3方式がある。
対地電圧は接地方式により異なるので、すべての回路を検電することが必要となる。
※接地された回路では検電器は動作しない。
直流残留電荷の検電

交流回路に電力ケーブルがある場合、交流回路遮断時に直流残留電荷が残る。
電力ケーブルは心線とシールド(金属遮へい層)間の静電容量が大きく
シールドは接地されているため、交流回路遮断時に残留電荷が心線に残る。
この残留電荷は直流であり、大きさは遮断時の電圧(瞬時値)になるので各相で異なり
最高は交流の波高値になる。交流検電器は直流では動作しないため
交直両用検電器を使用することで、交流回路の停電の確認と直流残留電荷の有無を確認することができる。
この様子を上図に示す。交流回路であっても直流電荷が残留することに注意が必要であり
残留電荷は検電により交流の停電を確認した後、短絡接地することにより大地に放電される。
この検電と短絡接地は、「停電作業を行う場合の措置」として
労働安全衛生規則第339条に規定されている。
さらに、残留電荷が大きいときは安全な方法で放電させることが必要であり
そのために抵抗を内蔵した放電棒がある(電流を制限して放電する)。
参考資料
新電気2020年10月号「特設 太陽光発電システムに おける検電の注意点」より一部引用

コメント