対称三相交流電源は、現代の電力システムにおいて最も広く使われている電源方式のこと。
単に「三相交流」と言う場合、ほとんどがこの「対称三相交流」を指す。
目次
対称三相交流電源の定義と特徴

三相交流とは、3つの単相交流が組み合わされてできたもので
この三相交流のうち、上記図のように起電力(電圧)の大きさが等しく
位相が120∘ずつずれているものを特に対称三相交流電源という。

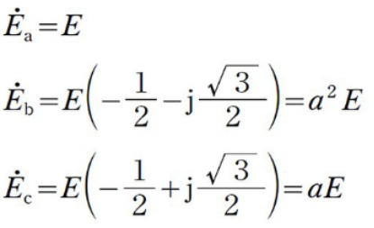
対称三相交流電源を複素数で表すと次のようになる
(相順はa→b→c)。
※αはベクトルオペレータを表す。
<要点>
●3つの電源(相)で構成されている。
●各相の電圧の大きさと周波数が等しい。
●各相の電圧の位相が、互いに 120°ずつずれている。
対称三相交流電圧の表現
対称三相交流の各相の電圧は、以下のような瞬時値の式で表される。
| 相 | 瞬時値の式 | 位相(基準:a相) |
| a相 | ea=Emsin(ωt) | 0∘ |
| b相 | eb=Emsin(ωt−32π) | −120∘ |
| c相 | ec=Emsin(ωt+32π) | +120∘ |
- ωt: 角度(ラジアン)
- Em: 最大電圧(ピーク値)
対称三相交流電源の特徴とメリット

瞬時値の和がゼロ
どの瞬時においても、3つの相の電圧(または電流)の瞬時値の和はゼロになる。
ea+eb+ec=0
この性質により、Y結線(スター結線)では
電源と負荷をつなぐ中性線(ニュートラル)には原理上電流が流れないため
電線を省略したり、細くしたりすることができ、送電の建設コスト削減と電力損失の低減に繋がる。
回転磁界の発生
三相交流は、三つのコイル(固定子)を120°ずつずらして配置し
対称三相交流を流すことで、磁界が回転する回転磁界を容易に発生させることができる。
この性質により、三相誘導電動機(モーター)は構造がシンプルになり
自力で始動できるため、大型の電動機に非常に適している。

コメント