対称三相交流電源を扱う上で、ベクトルオペレータ α (アルファ) は
三相交流の位相関係を複素数で簡潔に表現するために使われる非常に重要な概念となる。
目次
ベクトルオペレータ αの概略

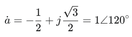
ベクトルオペレータは、大きさが1で偏角が120∘の単位ベクトルのことで
次のように表される。

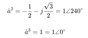
また、a^2 および a^3は次のようになる。

このことから、あるベクトルにベクトルオペレータを1回掛けるごとに
そのベクトルの大きさはそのままに、位相が120°ずつ進むことになる。
ベクトルオペレータ α の定義

ベクトルオペレータ α˙は、大きさが 1 で
位相が正の方向(反時計回り)に 120°だけ回転させる作用を持つ複素数のこと。
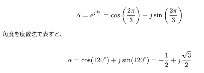
数値的定義
αはオイラーの公式または三角関数を用いて
以下のように定義される。

α^2 と α^3
α を2乗、3乗すると、以下のようになる。

対称三相交流の表現

α˙ を使うと、対称三相交流電圧のベクトル E˙a,E˙b,E˙c は
基準となる E˙a を用いて非常に簡潔に表現できる。
- E˙a: 基準相(通常、0∘)
- E˙b: E˙a より 120∘ 遅れ
- E˙c: E˙a より 120∘ 進み(または 240∘ 遅れ)
これらの関係は、α˙ を用いて次のように表される。

※ E˙b は E˙a から負の方向(遅れ)に 120°ずれているが、
240°正の方向に回転させる α˙2 を掛けることでも表現できる。
ベクトルオペレータαの重要な性質

対称三相交流の計算において、特に利用される α˙の性質は
「3つのベクトルの和がゼロになる」 というもの。
αの和の性質
αとその累乗を足し合わせると
ゼロになります。

この性質は、対称三相交流の瞬時値の和がゼロになる性質(ea+eb+ec=0)を
ベクトル(複素数)の形で裏付けている。
この関係は、対称三相交流の計算、特に対称座標法などの複雑な不平衡回路の解析で非常に重要となる。

コメント