目次
停電年次点検とは

電気事業法に基づき、高圧または特別高圧で受電する自家用電気工作物には
原則として年1回以上の停電を伴う年次点検が義務付けられている。
停電年次点検は電気設備の安全性と信頼性を確保し、事故や波及事故を未然に防ぐために非常に重要。
電気事業法および関連法規に定められており
怠った場合は罰則が科せられる可能性がある
停電年次点検時の高圧ケーブルにおける高電圧絶縁抵抗測定

ケーブル本体の絶縁抵抗測定に用いる方式として
「G端子方式」というものがあり、絶縁抵抗計のガード端子を接地し
ケーブルのシールド線に絶縁抵抗計のアース端子を接続して測定する。
。
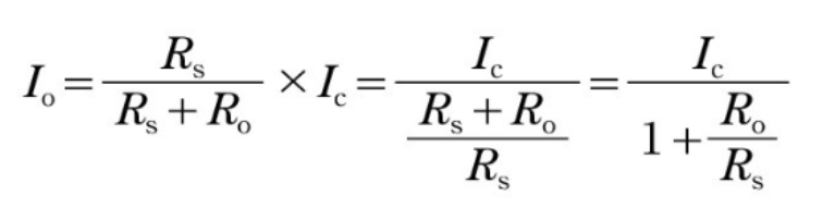
下記図にG端子方式の等価回路図を示す。

この測定では、シールド線と対地間が1MΩ以上なければ正しい測定値が得られず
シールド線の絶縁抵抗値が1MΩ未満であれば
ケーブルの表面シースに傷などの損傷がある可能性がある
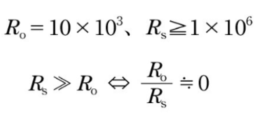
Ro は測定器の内部抵抗で、10kΩであることから


よって
Io≒Ic
したがって、RS が1MΩ以上であれば
G端子方式による測定が可能となる。
判定基準
絶縁抵抗

弱点比
2つの電圧(5000V,10000V)で測定した絶縁抵抗値の比のことで
これによって電圧の変化による絶縁抵抗の変化をみる。

弱点比の判定基準を下記に示す。

高圧ケーブルにおける高電圧絶縁抵抗測定におけるキック現象

上記図は5000Vと10000Vの電圧を印加したときの漏れ電流の曲線
10000Vを印加すると、時間とともに漏れ電流が増加して「キック現象」が現れている。
参考資料
新電気 2024年10月号 現場の電気保安実務 第222回 停電年次点検について より一部引用

コメント