目次
変流器CTについての概略

CTはCurrent Transformerの略で、日本語で変流器と呼ばれる。
大電流や高圧回路の電流を安全で扱いやすい電流(通常は5A)に変換して
計測器や継電器に入力するために使用する。
CTの原理は一般の変圧器と同じで
下記図のように鉄心に巻き付けた一次巻線と二次巻線間で電流の変換を行う。

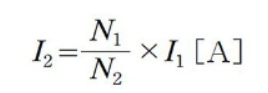
一次巻線と二次巻線の巻数を
それぞれ N1、N2 とすると、二次電流 I2 は、

となると、N1 を少なく、N2 を多くすれば、二次電流 I2 を小さくできる。
零相変流器 ZCTについての概略

Zero-phase Current Transformer の略で
日本語で零相変流器という。
ZCTもCTも原理は同じで、どちらも電流を変換する機器。
異なるのは使用方法である。
CTは一つのCTに一次側の1相分の電線を接続する。
このため、二次側には一次側の1相分の電流が変流比に応じた大きさで出力される。
しかしZCTは下記上図のように一次側に3相分の電線を一括して通す。
これにより、二次側には一次側の3相分の電流を合成した電流が変流比に応じた大きさで出力される。
通常、一次側3相分の電流はベクトル合成するとゼロになるので、ZCTの二次側には電流は流れない。
(下記下図のように各相の電流の大きさがアンバランスしていても合成電流は必ずゼロになる)。
ただし、電路の絶縁不良などで地絡事故が発生した場合は、地絡電流が流れるが
これは三相電路以外に流れるので3相の合成電流はゼロにならない。
このため、ZCTの二次側に電流が流れることになる。
→ZCTは、このように地絡電流を検出するための機器。

CTとZCTの比較表

参考資料
新電気 2019年1月号 現場の疑問解決塾 零相と名の付く機器 より一部引用

コメント