地絡についての概略

「地絡」とは、電気回路において、電路(電気が流れる導体)と大地(アース)が
意図せずに電気的に接触してしまう現象を指す。
短絡の一種だが、特に大地との接触を伴うものを「地絡」と区別して呼ぶ。
英語では「Ground Fault(グラウンドフォルト)」や「Earth Fault(アースフォルト)」と呼ばれる。
地絡の基本的な概念

- 大地への電流の流出
通常、電気が流れる導体は大地とは絶縁されている。
しかし、絶縁が劣化したり、何らかの理由で導体が大地に接触したりすると
電流が大地へと流れてしまう。 - 電流経路の変化
正常な状態では、電流は負荷を通って電源に戻る閉回路を形成するが
地絡が発生すると、大地を通る新たな電流経路が形成される。 - 電圧の上昇・低下: 地絡が発生した相の電圧は低下し
健全な相の電圧は上昇するなど、系統の電圧バランスが崩れる。
一線地絡についての概略

電力系統における地絡事故は、その発生形態によって「一線地絡」と「二線地絡」に分類される。
これらはどちらも大地との接触を伴う事故だが、その様態や系統への影響、
短絡電流の大きさなどに違いがある。
一線地絡電流
- 定義: 3本の相線(R相、S相、T相)のうち、1本の相線のみが大地に接触する事故。
- 発生頻度: 電力系統において、最も発生頻度の高い事故となる。
これは、絶縁劣化、落雷、異物接触(樹木、動物など)、自然災害(地震、強風)など
様々な要因で単一の電線が大地と電気的に接触する機会が多いため。 - 特徴:
- 非対称事故: 1相が地絡し、残りの2相は健全な状態を保つため、電流や電圧が不均衡(非対称)になる。
- 対称座標法: 対称座標法で解析する場合、正相、逆相、零相の3成分すべてを考慮する必要がある。
特に、零相電流が発生することが特徴であり、これによって地絡事故を検出する。 - 地絡電流の大きさ:
非接地系統と直接接地系統の違いについて

●直接接地の場合
・a相の対地電圧は小さく、事故点ではゼロになる
・中性点の電圧がゼロ(直接接地)なのでb相、c相の対地電圧はほとんど変化しない
・Ìa(=Ìg)は極めて大きく、三相短絡電流と同程度になる
●高抵抗接地の場合
・a相の対地電圧は小さく、事故点ではゼロになる
・b相、c相の対地電圧は事故前の3 倍程度に上昇する
・Ìa(=−Ìg)は中性点抵抗の大きさにより変化し、
相電圧/中性点抵抗
程度になる。
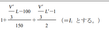
一線地絡電流の大きさについて

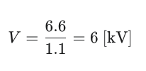
V: 使用電圧(公称電圧) を 1.1 で除した値 [kV]
L: 架空配電線の電線の長さ [km]
L′: ケーブルの長さ [km]
※計算結果は、小数点以下を切り上げ、2A未満となる場合は2Aとする。
電気設備基準の解釈第17条「接地工事の種類及び施設方法」17−2表より引用
6600V高圧配電設備の1線地絡電流I1の計算

図:6600 V 高圧配電線設備

L=20 [km]×3 [本]×3 [回線]+10 [km]×2 [本]×1 [回線]=200 [km]
L′=4 [km]×2 [回線]=8 [km]
1 線地絡電流 I1 [A] は、

=1+2.0+7.5=10.5→11 [A]
実際は、配電方式や架空電線とケーブルの割合などによって値は相当に変わってくるが
大体、1 線地絡電流の大きさは 1 から 15 A の範囲にあるものが多い。
参考資料
新電気2025年7月号 現場で使える便利術 第3回1線地絡電流の大きさより一部引用

コメント