電圧降下とは、電気回路において、電流が流れる際に電線の抵抗や接続部の抵抗などによって電圧が低下する現象のこと。
電圧降下が起こる原因

- 電線の抵抗 (Resistance: R): 電線は電気を通すが、わずかながら抵抗を持っている。電線の材質や太さ、長さに依存します。材質による抵抗率は決まっており、断面積が小さいほど、また長さが長いほど抵抗は大きくなる。
- 電流 (Current: I): 回路に流れる電流が大きいほど、電圧降下も大きくなる。
- インピーダンス (Impedance: Z): 交流回路においては、抵抗成分だけでなく、インダクタンス成分やキャパシタンス成分も電圧降下の要因となる。
※これらの総和をインピーダンスと呼ぶ。 - 接触抵抗: スイッチやコネクタなどの接続部分でも、わずかな抵抗が生じ、電圧降下の原因となることがある。
直流回路における電圧降下の原理

電気は、電圧の高い場所から低い場所へ流れる性質を持っている。
回路内で電流が流れる際、電線などの持つ抵抗によって、電気エネルギーの一部が熱エネルギーに変換される。
このエネルギー変換によって、電気の流れの勢い、つまり電圧が徐々に失われていくのが電圧降下。
オームの法則から導かれる電圧降下(直流回路の場合)
電圧降下の大きさ (V_d) は、直流回路の単純な場合、オームの法則から次のように表される。
Vd=電圧
I=電流
R=抵抗
Vd=I×R
交流回路の場合は、インピーダンス (Z) を用いて、
Vd=I×Z
と表される
※より正確には、ベクトルによる計算が必要
電圧降下は、電気機器の性能低下や誤動作の原因となることがある。
そのため、電気回路の設計においては、電圧降下が許容範囲内に収まるよう
適切な電線の太さや配線方法を選定することが重要。
計算例
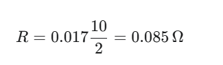
例:抵抗率 0.017 Ω・mm²/m の銅線
断面積が 2 mm²
長さが 10 m の電線に 5 A の電流が流れた場合
電圧降下
①電線の抵抗 (R) を計算

②電圧降下 (Vd) を計算 Vd=5 A×0.085 Ω=0.425V
この場合、電線によって 0.425 V の電圧が低下することになる
抵抗 (R) は、電線の材質、断面積 (A) [mm²]、長さ (L) [m]、およびその材質の抵抗率 [Ω・mm²/m] によって決まる

交流回路における電圧降下の原理
交流回路では、抵抗成分に加えて、インダクタンス成分(コイル)やキャパシタンス成分(コンデンサ)によるリアクタンスも電圧降下に影響を与える。
これらの合成抵抗であるインピーダンス (Z) を考慮する必要があるため、計算はより複雑になる。
詳細は関連記事に記載

電圧降下がもたらす影響

電圧降下が大きくなると、様々な問題が生じる。
- 電気機器の性能低下: 電圧が定格値よりも低くなると、電気機器は本来の性能を発揮できなくなる。
- 照明器具: 明るさが低下したり、ちらついたりすることがある。
- モーター: 回転数が低下したり、トルクが不足したりすることがある。
最悪の場合、起動できなくなることもある。 - 電子機器: 誤動作を引き起こしたり、寿命を縮めたりする可能性がある。
- エネルギー損失: 電圧降下は、電気エネルギーが熱として失われる現象でもある。
回路全体のエネルギー効率が悪化し、無駄な電力消費につながる。 - 安全性の問題: 極端な電圧降下は、一部の機器に過電流を引き起こし
発熱や火災の原因となる可能性も否定できない。
電圧降下を防ぐための対策

電圧降下を適切に管理し、影響を最小限に抑えるためには、以下の対策が考えられる。
- 太い電線を使用する: 電線の断面積を大きくすることで、抵抗を減らし、電圧降下を抑制できる。
- 配線距離を短くする: 電線の長さを短くすることで、抵抗を減らし、電圧降下を抑制できる。
- 抵抗の低い材質の電線を使用する: 一般的に、銅線はアルミニウム線よりも抵抗が低いため、電圧降下を抑える効果がある。
- 適切な回路設計: 電気機器の配置や配線のルートを最適化することで、電圧降下を最小限に抑えることができる。
- 電圧降下補償: 長距離配線など、どうしても電圧降下が大きくなる場合には、昇圧器(ブースター)などを用いて電圧を補償する場合がある。

コメント