
図:高圧ケーブルの構造(単心)
高圧ケーブルは、高い電圧(一般的に直流750V、交流600Vを超えるもの)の電力を
送電・配電するために用いられるケーブル。(上図参照)
高圧ケーブルは、低圧ケーブルと同様に、導体を絶縁物で被覆した上を
さらに外装で保護した構造となる。
低圧ケーブルと異なるのは、絶縁被覆と外装の間に金属製の遮へい層があること。
低圧ケーブルとの違い
高圧ケーブルは、低圧ケーブルと異なり高電圧なので
その表面に触れると感電の危険がある。
これを防止するために遮へい層が設けられている。
この場合、遮へい層を接地しなければ、その効果は得ることができない。
また、遮へい層には誘導防止の効果もある。
※遮へい層はシールドともいう。

高圧ケーブルの接地の構造について
ケーブルの構造は電技第1条(用語の定義)では
「電気導体を絶縁物で保護した上をさらに保護被覆で保護したもの」と定義としている。
ケーブルの構造は下記図参照


左:6kV3心一括形CVケーブル 右:トリプレックス形CVケーブル
新電気2019.9 電線・ケーブル詳細解説より画像引用
高圧ケーブルの構造について
現場で使用される高圧ケーブルの多くがCVケーブルのため
CVケーブルの説明で進める。
遮へい層
感電防止および誘導防止等の目的で遮へい層を設ける。
遮へい層は、下図のように外部半導電層上に銅テープを巻いたもの。

図:遮へい銅テープ
高圧ケーブルの接地について
高圧ケーブルの遮へい銅テープは接地を行う必要がある
接地を行うことより、感電および誘導防止などの目的を果たすことができる。
もし遮へい銅テープが接地されていない場合はどのようになるのか。
(1)正常に接地されている場合

図:正常な接地
上図のように遮へい銅テープに正常な接地を施した場合
遮へい銅テープは大地と同電位になるのでシースに触れても安全となる。
印加電圧は、導体と遮へい銅テープの間の絶縁体にかかり外部には表れない。
また、高圧ケーブルは同心円状に導体、絶縁体、遮へい銅テープを有する構造なので
電気的にはコンデンサを形成することになる。
したがって、高圧ケーブルに交流電圧を印加すると充電電流が流れる。
このときの充電電流 IC[A] は次式で計算できる。
f:周波数 [Hz]
C:ケーブルの静電容量 [F]
V:印加電圧 [V]
具体例
6.6 kV CV60 mm^2 のケーブルが
100 m の長さで布設してある場合の充電電流の大きさについて

静電容量は 0.37 muF[km]
印加電圧は相電圧
周波数は 50 Hz

この電流が接地線に流れることになる。
三相の場合は、下左図のように他の2線にも同じ電流が流れる。
この場合、地絡事故がなく三相が平衡していれば
それぞれの充電電流は下右図のように打ち消し合うので
接地線の電流はゼロになる。


左図:三相回路の電流 右図:充電電流の合成
(2)接地されていない場合

図:接地されていないケーブル
接地されていない場合は
上図 のように導体と遮へい銅テープ間
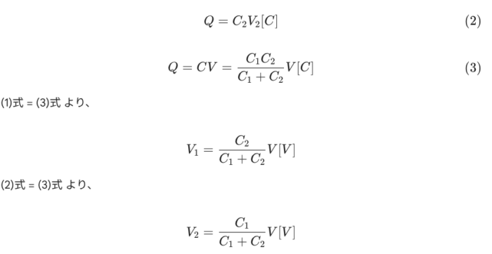
遮へい銅テープと大地間の静電容量 C1、C2 によって
印加電圧は V1、V2に分割される。
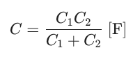
これらの電圧の大きさは、次式で求められます。合成静電容量 C [F] は

直列接続においては
各コンデンサの電荷 Q[C] は同じになるので、印加電圧を V [V] とすると、


この式から、それぞれの分担電圧は静電容量の大きさに反比例することになる。
実際の布設状況では、通常C1に比べてC2が非常に小さいため
遮へい銅テープに発生する電圧V2は大きく、印加電圧Vに近い値となる。
このように接地されていない場合は、遮へい銅テープには
非常に高い電圧が発生して極めて危険な状態になる。
また接地を施していても接地線の接続不良や断線が起こった場合は
接地をしていない状態と同じになり、例えば接地線部分で放電や発熱を起こして
ケーブル火災の原因になるなど、非常に危険となる。
遮蔽層の破断について

図:遮蔽銅のテープ破断
高圧CVケーブルの代表的な劣化形態のひとつに
遮へい銅テープの破断がある。
これは、ケーブル内部に水が浸入して遮へい銅テープが腐食することが原因となる。
シースが傷ついた場合にそこから水は浸入するが、たとえシースが健全であっても
プラスチック材料は多少水分を透過する性質がある。
特に、水の影響を受けやすい環境に布設されているケーブルは注意が必要。
遮へい銅テープが破断すると、上図のように破断部分に充電電流が流れて
発熱して発火に至ることがある。
また、遮へい銅テープが破断するとケーブルが非接地になり遮へい銅テープに電圧が誘起されるので大変危険。
参考資料
新電気2022年6月号 「現場のギモン解決塾 第23回 高圧ケーブル(1)」より引用

コメント