高圧受電設備において、直列リアクトル(SR: Series Reactor)は
進相コンデンサとセットで設置される非常に重要な機器の1つ。
直列リアクトルの主な役割

① 高調波の抑制(コンデンサの保護)
現代の電気設備では、インバータなどの電子機器から「高調波」という電気のノイズが発生する。
コンデンサは高周波(高調波)に対して抵抗が小さくなる性質があるため
そのままでは高調波電流がコンデンサに流れ込み、過熱や焼損を引き起こす。
直列リアクトルを挿入することで、回路のインピーダンスを調整し
高調波がコンデンサへ流入するのを防ぐ。
② 突入電流の制限
コンデンサを電源に投入する際、一瞬だけ定格の数十倍という大きな電流(突入電流)が流れる。
これが繰り返されると遮断機やコンデンサ自体の寿命を縮める。
直列リアクトルは、この投入時の衝撃を和らげるクッションの役割を果たす。
なぜ「6%」や「13%」なのか?

直列リアクトルの容量(リアクタンス)は
一般的にコンデンサ容量に対して6% or 13%のものが選ばれる。
L=6%(第5高調波対策)
直列リアクトルを設置しない場合、電源側の誘導性リアクタンスと進相コンデンサの並列共振作用により
電源系統へ流出する高調波電流を拡大させてしまう。
このため、直列リアクトルは、高調波(第5調波)に対して
回路が誘導性になるような容量を選定する必要がある。
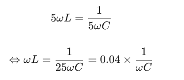
回路全体のインピーダンスを第5高調波に対して誘導性(ブレーキがかかる状態)にするためには


となり、直列リアクトルの容量は進相コンデンサ容量の4%以上あればよいことになるが
実際は多少余裕を見込んで、6%にするのが一般的。(下図参照)
L=13%(第3高調波対策)
第3高調波が多く含まれる特殊な環境(特定の照明負荷や機器など)では
6%では不十分なため、より強力な 13% を採用する。
直列リアクトルの容量6%時の計算例

上図:直列リアクトルとコンデンサの回路図
リアクトルのリアクタンスがコンデンサのリアクタンスの6%ということであり
容量の比率でも同様に6%になる。
回路電圧はコンデンサと組み合わせて使用する場合の使用電圧であり
リアクトルとコンデンサの位相が 180°異なるので
6%リアクトルの場合、 次式のようになる。
回路電圧=コンデンサ電圧+リアクトル電圧 = 7,020 – √3× 243 ≒6,600[V]
基本的にコンデンサはリアクトルが付属することが前提で
コ ンデンサの定格電圧は、リアクトル設置を考慮した値となっている。
定格設備容量100kvar の場合の、コンデンサとリアクトルの容量計算例(参考)
定格設備容量・基本情報
| 項目 | 値 |
| 定格設備容量 | 100 kvar (コンデンサとリアクトルを組み合わせた容量) |
| 回路電圧 | 6,600 V |
| 定格電流 | 8.75 A |
| リアクタンス (L) | 6 % |
コンデンサの計算

リアクトルの計算

直列リアクトルの構造と種類
直列リアクトルは絶縁油を使用した油入式が一般的だが、変圧器と同様
不燃化を求められる場所ではモールド式が使用される。
| 種類 | 特徴 |
| 油入式 | 絶縁油で満たされたタンクに収められている。 冷却性能が高く、屋外設置に向く。 |
| モールド式 | コイルをエポキシ樹脂などで固めたもの。 小型・軽量で燃えにくいため 近年のキュービクル(屋内)では主流。 |
コンデンサの電圧上昇について(コンデンサの回路電圧が7020Vの理由)

直列リアクトルを接続すると
リアクトルの作用によってコンデンサ端子の電圧が上昇する。
- 6%リアクトル設置時:電圧は約 1.06倍
- 13%リアクトル設置時:電圧は約 1.15倍
そのため、組み合わせるコンデンサは
この電圧上昇に耐えられる定格のもの(例:6.6kV用ではなく7.02kV用など)を使用する必要がある。
参考資料
新電気2023年10月号「現場の疑問解決塾 第39回キュービクルその2」より一部引用
イラストでわかる電験3種疑問解決道場「直列リアクトル(SR)はなぜ6%が使われるの?」より一部引用

コメント