絶縁耐力試験(=耐電圧試験)は、電気機器や電線などの絶縁部分が
予期せぬ異常電圧(雷サージや開閉サージなど)に耐えられるかどうかを
直接確認するための非常に重要な試験。
絶縁耐力試験の目的

電気設備が通常の使用状態だけでなく、事故や異常時にも絶縁破壊を起こさず
火災や感電を防げるかを確認するために行われる。
●絶縁破壊の確認
絶縁体に高い電圧をかけ、火花が飛んだり
電流が急増したりしないかを確認する。
●信頼性の証明
製造時や保守点検時に行い、機器の健全性を担保する。
絶縁耐力試験時の注意点

絶縁耐力試験での充電電流値の想定
試験を実施するにあたっては、充電電流を流せるだけの容量を持つ試験器が必要となる。
いざ試験を実施しようとしたら、容量不足のために規定電圧まで
上昇させることができなかった場合、試験ができない。
よって試験前に、充電電流値を算出しておき想定しておかなければならない。
下記図に、高圧受電設備の絶縁耐力試験時の等価回路図を示す。

※R[MΩ]は、高圧受電設備の絶縁抵抗値
竣工検査の「高圧受電設備の絶縁耐力試験」を行う機器はほとんどが新品であるため
通常、絶縁抵抗値は数千~数万MΩとなる。
これを充電電流に換算すると1mA未満であり
ほぼ無視できる値となる。
C[mu F]は高圧ケーブル、C'[mu F]は高圧受電設備の静電容量で
通常は、C >> C’の関係にあり、充電電流値を想定する上でC'[mu ]は無視できる。
充電電流値を算出するためには、高圧ケーブルの静電容量を知る必要がある。
下記に高圧ケーブルの静電容量を示す。

6600 V CVT ケーブルの1線あたりの静電容量 (JIS C 3606 : 2003 より)
充電電流値の計算方法

充電電流は以下の計算方法で求められる

また、電技解釈第15条より
試験電圧 [V] は最大使用電圧 の1.5倍の電圧であるため、
6900[V] ×1.5 = 10350[V]
となる。
計算例
60Hzの地域で6600V
CVTケーブル38mm^2を30m布設した場合の充電電流は

となる。
よって、現場へ持ちこむ試験器の容量は、
10350[V] ×0.1124[A] = 1.16[kVA]
となり、最低でも1.2kVA以上の容量がなければ試験ができない。
高圧ケーブルのこう長が長く、交流耐圧試験器の容量が不足する場合
交流耐圧試験器の容量が不足している場合は
高圧ケーブルのみ単体で直流耐圧試験器による試験を実施する。
試験電圧は解釈第15条第二号より、
10350[V] × 2 = 20700[V]
となる。
また、そのほかの高圧受電設備は、交流耐圧試験器で実施することになる。
試験器の容量不足で試験ができない場合

上記の状況で、下記図のように「リアクトル」を試験回路に並列に接続し
無効電流を補償させる。
※リアクトルは充電電流の大きさに応じて、台数を調整する。

充電電流はそのままであるが、上記図のようにリアクトルの台数を調整すれば
以下の計算より、試験器から出力される電流を抑制することができる。
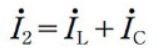
高圧側の合成電流

静電容量に流れる電流

リアクトルに流れる電流

よって、ベクトル合成された

は小さくなる。
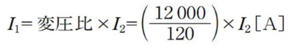
ちなみに、低圧側の電流I1は、

となる。
参考資料
新電気2020年7月号 「現場の電気保安実務 第172回」
自家用電気工作物における 高圧受電設備の絶縁耐力試験 より一部引用
電気設備基準解釈 第15条を引用

コメント
コメント一覧 (3件)
https://haiden.sakura.ne.jp/sp/cable-charge-cur.php
の計算結果はものすごく良く合います。
普通の計算値とかなり違います。
コメントありがとうございます。
たしかに実際の値は現場の環境や、施設されるケーブルの施設方法や試験器によって
理論値とは確かにずれが生じます。
※後述の工事業者の判断によるケーブル亘長が変わるなど
電気設備技術の解釈第15条においてケーブルの耐圧試験の良否判定は「試験電圧の2倍の直流電圧を電路と大地との間に連続して10分間加えたとき
これに耐える性能を有することと」記載されております。
→試験前後での絶縁抵抗の変化が起きていないこと(私は試験前後で低メガ1000レンジで絶縁抵抗値の測定を行っています)
自身の認識では理論値とブログに記載している簡易的な計算値とで判断し、何mAのリアクトルを持っていくべきかor持っていかないかの判断基準としております。
→現場において10分間の試験時、試験機が容量不足のために規定電圧まで上昇させることできないことを防ぐため。
充電電流値が計算値と数mA違うことはあまり重視していません。
(現場での試験時には工事業者の判断によって連絡されていたケーブル亘長と数mほど違うことが多々あるため)
例外として耐圧試験時にシールド線を接地していないときは充電電流は何mであってもほとんど計測されないため
この場合、計算値と大きく乖離することとなり、試験を中止する根拠になり得ます。
個人的にはそちらのサイトでの計算方法は便利だと思いますので、KMさんの使いやすい方法での
計算を行うのがベストだと思います。
今まで他サイトの計算ソフトを使っていたのですが、全然合わなくてあてにならなかったのですが、そちらのサイトのは何故かほぼ合うのでリアクトルを持っていくかどうかの参考にしています。
確かに実際の長さでの差は仕方ありませんが!
ありがとうございます。