電流が作る磁界
(1)直線電流が作る磁界

上図に示すように、非常に長い直線状の導線に電流を流す(これを直線電流と呼ぶ)と
電流に垂直な面内に同心円状に磁界ができる。
この磁界の向きは、電流の向きに右ねじを進めるとき、ねじを回す向きに一致する。
これを右ねじの法則という。
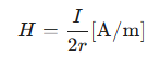
大きさ I [A]の直線電流から距離 r [m]だけ離れた点にできる磁界の強さ H [A/m]は
I に比例し、rに反比例するので次式となる。

上式から磁界の強さの単位は、電流を距離で割ったものなので
アンペア毎メートル [A/m]となる。
(2)円形電流が作る磁界

上図に示すように、半径r [m]の一巻の円形の導体に電流I [A]を流したとき
円の中心にできる磁界の強さH [A/m]は、Iに比例し、rに反比例するので次式となる。

ここで、導体がN回巻かれていたならば、磁界はN倍となり次式で表される。

(3)ソレノイドが作る磁界

上図に示すように、導線を円筒状に巻いたコイルをソレノイドという。
ソレノイドの半径に対して非常に長く、さらにコイルを密に巻くと
ソレノイド内部の磁界は場所によらず、大きさと向きが一定な磁場となる。
ソレノイドに電流 I [A] を流したとき、ソレノイド内部にできる磁界の強さ H [A/m] は
電流 I [A] と単位長当たりの巻数 n に比例するので次式で表される。

具体例
長さ 0.2m、巻数 1,000 のソレノイドに 5A の電流を流したとき
内部に生じる磁界 Hは

となる。
(4)環状コイルによる磁界

上図に示すように、導線を環状に巻いたものを環状コイルという。
環状コイルの内部の磁界の強さ H[A/m] は、コイルの巻数を N、電流を I[A]、コイルの半径を R[m] とすると
次式で表される。

参考資料
新電気2019年2月号「2019年 電験三種 合格セミナー 理論 磁界」より引用

コメント