可動鉄片形計器の記号

可動鉄片形計器の目盛板の下を見ると、上図のような記号が表示されている。
これは、固定コイルの中に可動する鉄片のついた磁気可動(可動鉄片)があることをイメージした記号で
本計器が可動鉄片形計器であることを表している。
可動鉄片形計器可動部の構造について

可動部は写真2のような構造になっている。
可動部の支持にはバンド支持方式とピボット支持方式とがあることは
永久磁石可動コイル形計器と同じとなる。
可動鉄片形計器には、鉄片の形状や配置などにより、下記の種類がある。
吸引形

上図のように、可動鉄片 M と固定コイル C からなり
C に電流が流れると磁化されて、M がコイルの中に吸引される。
反発形

上図のように、固定コイル C の中に
固定鉄片 A と可動鉄片 B が円筒形に曲げられて、同心的に配置されている。
コイルに電流が流れると、両鉄片が同一極性に磁化されるので
反発力が生じB が動く。
※A 鉄片の先が細くなっているのは、平等目盛に近づけるため。
反発吸引形

上図 のように、指針が 0 の近くでは A1 と B1、A2 と B2 の間の反発力でトルクを生じるが
回転が進むと反発力が減少して B1 と A2、B2 と A1 の間の吸引力によって動作する。
※反発吸引形は駆動トルクを大きくすると同時に、平等目盛に近くなる特長がある。
傾斜形

上図 のように、固定コイルCに対し可動鉄片Mの軸が45°傾いており
指針が0位置ではCとMは破線の位置で一致し
電流が流れるとMは磁界の方向に回転する。
可動鉄片形計器可動部の動作原理

吸引形を例に説明。
固定コイルCに電流iを流すと、iに比例した磁界hが生じる。
この磁界中にある可動鉄片Mは磁化されて、hに比例した磁極を生じるので
hとMの間にはh^2、すなわちi^2に比例した吸引力が働く。
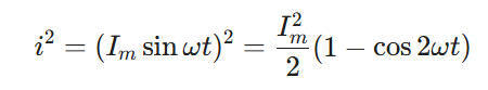
ここで、iを正弦波交流とすると、i^2は、

となり、Mには図3のi^2の波形に比例する吸引力が働く。
しかし、可動部分には慣性があるため、i^2の平均に比例する吸引力で動作する。
上記数式より、i^2の平均はIm^2/2となるため、吸引力は実効値Iの2乗に比例する。

上グラフ:可動鉄片形計器の駆動トルク
まとめ
可動鉄片形計器の駆動トルクは電流の方向に関係なく一定方向のトルクを生じ
直流でも交流でも動作する。
また駆動トルクは実効値の2乗に比例する。
可動鉄片形計器の特徴

①構造が簡単で、丈夫に作ることができ、安価。
交流計器の代表。
②交直両用で使用できる。
※直流の場合は鉄片のヒステリシス減少と磁気飽和の影響により、誤差が大きくなる。
③電流計は数十A程度、電圧計は600V程度まで、直接測定できるものが作れる。
※消費電力が大きいので、20mA以下、15V以下の測定用には適さない。
④2乗目盛(不平等目盛)で、目盛の間隔が0に近づくほど縮小するが
反発形、反発吸引形では、全目盛の10%以上は平等目盛に近いものが作られている。
⑤実効値を指示する。
可動鉄片形計器の用途

交流電流計
可動鉄片形計器は、固定コイルCだけに電流を流せばよいので
20mA~数十Aの電流もコイルの巻数を変えることで直接測定できる。
それ以上の大きな電流の測定には、変流器(CT)を用いる。
交流電圧計
可動鉄片形の電流計(定格電流の小さいもの)に直列抵抗器を接続すれば電圧計になる。
比較的消費電力が大きいので、15V以下の低電圧の測定には適しない。
高電圧の測定には計器用変圧器(VT)を用いる。
参考資料
新電気2020年5月号 「なるほど納得! 電気計器 [第2回] 可動鉄片形計器」より引用

コメント