直流と交流の違いについての概略

電圧には上記図のように、大きさと向きが常に一定で変化しない直流と、
大きさと向きが常に変化する交流がある。
直流電圧は電圧の大きさと極性(正負)で表せるが
交流電圧は常に変化しているのでの下記図のような各種の表現方法がある。
これらは、使用目的に応じて使い分けられている。

①瞬時値について
任意の瞬間における値であり、正弦波の場合は次式で表される。
v(ωt)=Vmsinωt
v(ωt)
意味: 瞬時電圧(時刻 t における電圧の値)
単位: ボルト [V]
Vm
意味: 最大電圧、または電圧の振幅(交流電圧が取りうる最大の瞬時値)
単位: ボルト [V]
sinωt
意味: 正弦波関数(−1 から 1 の間の値をとる無次元の量)
ω (オメガ)
意味: 角周波数(角速度とも呼ばれる)
1秒間あたりに進む位相の角度を表す。
周波数 f [Hz] との関係は、ω=2πf
単位: ラジアン毎秒 [rad/s]
t: 秒 [s]
瞬時値は、あるタイミング(位相)の大きさを表したいときに使用する。
② 最大値について
交流のゼロ点からピーク点までの大きさのこと。
測定器などで、入力値の上限によってその性能が左右される場合に使用する。
③ 平均値
交流の場合は、正と負を平均すると0になってしまうので
平均値は正・負どちらかの半サイクルを平均化したものとする。
平均値を測定して実効値目盛に換算して表示する測定器を平均値応答型という。
※この測定器は、正弦波は正確に測定できるが、他の波形では誤差が大きくなる。
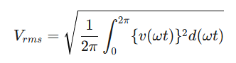
④ 実効値
実効値とは単純にいいかえると、交流の値を直流の値に変換した値。
つまり、実効値は交流を「直流だったら何Vになるか」と考えて変換した値といる。
例えば、直流を電熱器などに加えたときに発生する熱量と、直流を加えたときに発生する熱量が等しい場合
直流の値は交流の実効値と等しくなる。
実効値を使用すると電気回路の計算が直流と同じように簡単になるので
特に断りない限り、交流は実効値で表現するのが一般的となる。
実効値の計算式
実効値 (Vrms) は、次式のように瞬時値の2乗の平均値の平方根で求められる。

このため、実効値は RMS (Root Mean Square) 値ともいう。
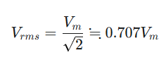
※正弦波の場合の実効値は

となる。

コメント